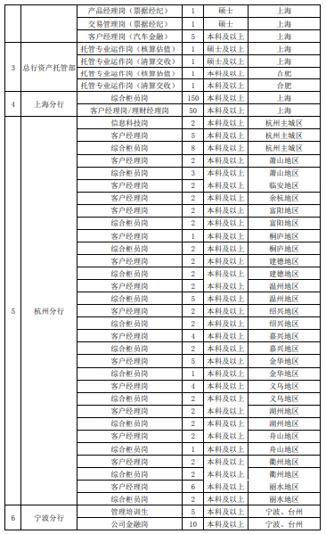
浦發銀行2020春季校園招聘職位表:







注:一名學生最多報兩家單位,每家單位最多報兩個崗位;須明確志愿順序。
具體崗位及職位表請參考各分行招聘公告,詳見《2020年浦發銀行春季校園招聘公告匯總》。
上面就是銀行考試網小編整理的浦發銀行校園招聘的職位表,2021春招的考生可以提前看一看去年的招聘崗位的具體要求,為即將到來的2021春季校招考試做好準備。如果想了解更多銀行招聘考試的動態,請關注銀行招聘網(http://www.llwin.cn/)、銀行考試網(http://www.llwin.cn/yhks/)官方網站或“銀行招聘網”微信公眾號。
相關閱讀:




