2022年洪湖農商行開展新員工招錄資格審查通知
歡迎報考洪湖農商行。
根據2022年新員工招錄工作安排,我行擬于近期組織開展資格審查工作。結合當前疫情防控形勢,前期,我行已短信告知考生做好準備工作,提醒考生了解疫情防控要求。根據前期考生反饋的相關信息,按照“能審盡審”、“先審轄內、后審異地返回人員”的原則,結合疫情防控“不聚集”的要求,分時段、分批次對資格審查進行了安排,F就有關事項通知如下:
一、資格審查時間
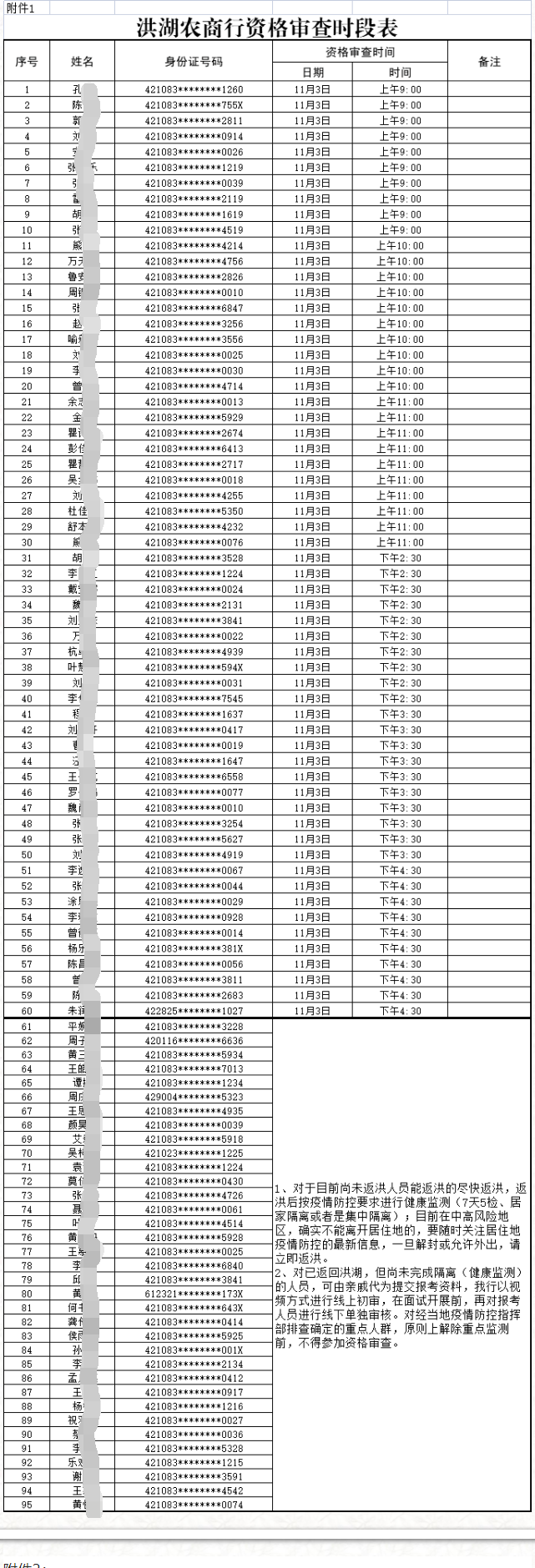
2022年11月3日。具體每位考生審核時間詳見附件1。
二、資格審查地點
洪湖圣權國際大酒店1110室
三、相關工作要求
(一)做好資料準備工作。全體參加資格審查人員,務必對照招錄公告相關要求準備相關資料。資料不齊全的,資格審查將不予受理。
。ǘ┌磿r參加資格審查。為最大限度避免人員聚集,我行分時段、分批次確定了每位報考人員參加資格審查的具體時段,請務必按照本通知規定的時間要求,參加資格審查。逾期未參加資格審查的,視為放棄參加資格審查。
。ㄈ﹪栏衤鋵嵎酪咭。請全體參加資格審查人員及時關注我市疫情防控要求,嚴格落實疫情防控要求。如遇防疫政策調整導致無法按時參加資格審查的,請及時致電我行人力資源部。對瞞報行程、謊報健康狀況等造成嚴重后果的,我行將保留將依法追究刑事責任的權利。參加資格審查期間,請按照《疫情防控須知》(見附件2)要求,做好防疫工作。
附件:1.洪湖農商行資格審查時段表
2.洪湖農商行2022年新員工招錄考生疫情防控須知

附件2:
洪湖農商行2022年新員工招錄考生疫情防控須知
一、所有報考人員須滿足以下條件方可報考:
1.提交檢測日期為資格審查前1天的核酸檢測紙質報告及資格審查前三天“三天兩檢”核酸檢測報告(可手機截圖打。,且檢測結果為陰性;
2.須注冊健康碼,且招錄工作期間持有健康碼是綠色;
3.須保證在報考前14天無疫情中高風險地區旅居史及境外旅居史;
4.不在集中醫學觀察或居家醫學觀察期間。
二、請考生及時了解湖北省及報考地區疫情防控工作要求,建議在外省的考生,盡早返回報考地區。所有報考考生需遵守湖北省和報考所在地疫情防控工作要求,盡量減少人員流動,按期開展核酸檢測。資格審查、面試、筆試前,將根據疫情防控要求查驗相關疫情防控證明,不符合疫情防控要求的,不得參加資格審查及考試。
三、考生在備考過程中,要做好自我防護,注意個人衛生,加強營養和合理休息,防止過度緊張和疲勞,以良好心態和身體素質參加資格審查及考試,避免出現發熱、咳嗽等異常癥狀。參加資格審查及考試相關工作時要采取合適的出行方式前往考點,與他人保持安全間距。
四、考生應按招錄工作相關要求,提前到達考點,并自備口罩等防護物資,做好個人防護工作。資格審查及考試期間,應全程佩戴口罩,但在接受身份驗證時須臨時摘除口罩。
五、考生入場前應主動配合接受體溫檢測,出示健康碼(不限湖北省),健康碼為綠碼且現場測量體溫正常(<37.3℃),方可進入資格審查及考試區域。體溫測量若出現發熱等可疑癥狀的人員,應至臨時等候區復測體溫。復測仍超過37.3℃的,經考點現場醫療衛生專業人員評估后,具備參加資格審查及考試條件的,在隔離考場參加資格審查及考試;不具備相關條件的,按相關疾控部門要求采取防控措施。
六、考生報考時須提供7天行程軌跡(打印行程碼),疫情風險等級查詢可使用“國務院客戶端”微信小程序點擊“疫情風險查詢”,或在微信小程序中搜索“疫情風險等級查詢”,或登陸http://bmfw.www.gov.cn/yqfxdjcx/index.html,選擇查詢地區即可了解該地的疫情風險等級。
七、考前3天有發熱癥狀的考生,應在入場檢測體溫前主動向工作人員報告,經考點現場醫療衛生專業人員評估后,具備參加考試條件的,在臨時隔離考場繼續考試;不具備相關條件的,按相關疾控部門要求采取防控措施。
八、考生在進入考場后及考試期間出現發熱癥狀的,應主動告知監考人員,經考點現場醫療衛生專業人員評估后,具備參加考試條件的,在臨時隔離考場繼續考試;不具備相關條件的,按相關疾控部門要求采取防控措施。
九、資格審查及考試期間,考生要自覺遵守考試紀律,在考前入場、考試期間、考后離場和其他人員聚集環節,應服從考務工作人員安排有序進行。進出考場、如廁時須與他人保持1米以上距離,避免近距離接觸交流。考試過程中,因個人原因需要接受健康檢查或需要轉移到隔離考場而耽誤的考試時間不予補充延時。
十、請考生備齊個人防護用品,注意飲食衛生。
十一、請參加資格審查及考試的考生主動關注湖北省和報考地所在市(州)、縣防控規定,提前申請健康碼信息,自行了解賓館酒店入住、乘坐公共交通等相關要求,做好個人防護,按時參加資格審查及考試。
十二、請考生認真閱讀本須知,承諾已知悉須知事項,并自愿承擔相關責任。凡隱瞞或謊報旅居史、接觸史、健康狀況等疫情防控重點信息,不配合工作人員進行防疫檢測、詢問、排查、送診等造成嚴重后果的,按照疫情防控相關規定嚴肅處理;違反《中華人民共和國傳染病防治法》等法律法規的,依法追究相關責任。
本人承諾:已認真閱讀以上考生疫情防控須知,所有事項均已知悉,本人將自覺遵守以上要求、自愿承擔相關責任。
承諾人:






