上海浦東發展銀行股份有限公司(以下簡稱:浦發銀行)是 1992 年 8 月 28 日經中國人民銀行批準設立、1993 年 1 月 9 日開業、1999 年在上海證券交易所掛牌上市(股票交易代碼:600000)的全國性股份制商業銀行,總行設在上海。良好的業績、誠信的聲譽,使浦發銀行成為中國證券市場中備受關注和尊敬的上市公司。
一、應聘基本條件
1、全日制高等院校應屆畢業生; 境內高校學生為 2020.1.1-2020.12.31 期間畢業,境外高校學生為 2019.1.1-2020.12.31 期間畢業。
2、本科及以上學歷。
3、專業不限,其中總行信息科技部招聘崗位以計算機與信息技術、大數據挖掘、軟件工程、人工智能、金融工程、統計學等理工科專業為主。
4、品行端正、學業優良、身心健康。
5、外語水平、計算機應用能力出色。
6、開拓進取,勇于創新,具備高度的責任心和敬業精神。
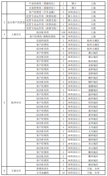
二、招聘需求







注:一名學生最多報兩家單位,每家單位最多報兩個崗位;須明確志愿順序。
三、招聘主要程序
簡歷投遞時間:2020年2月26日至3月17日
統一筆試:2020年3月下旬
面試:202年4月
錄用:2020年5月
具體時間以我行實際通知為準,通知的形式包括短信、電子郵件或電話等;確定錄用后,將以書面形式發放錄用通知。
四、報名方式
請點擊鏈接 http://spdb.zhaopin.com, 進行在線應聘報名申請,開放時間 2020 年 2 月 26 日 10:00—3 月 17 日 18:00。
五、服務熱線
1、簡歷投遞:021-23068800*66509(智聯招聘),9:00 -18:00(開通日期:2020 年 2 月 26 日 至 2020 年 3 月 17 日,每周一至周五)
2、筆試安排:400-650-6886(北森測評),9:00-21:00 (開通日期:2020 年 3 月 24 日 至 2020 年 3 月 31 日)
3、其它咨詢:021-61617777(浦發銀行),9:00-17:00 (開通日期:2020 年 2 月 26 日 至 2020 年 3 月 31 日,每周一至周五)
